> اليونان.. الباسبورات الجاهزة الخاصة بحالات اللجوء بتاريخ 7 أبريل 2022 ثيسالونيكي

اليونان.. الباسبورات الجاهزة الخاصة بحالات اللجوء بتاريخ 7 أبريل 2022 ثيسالونيكي

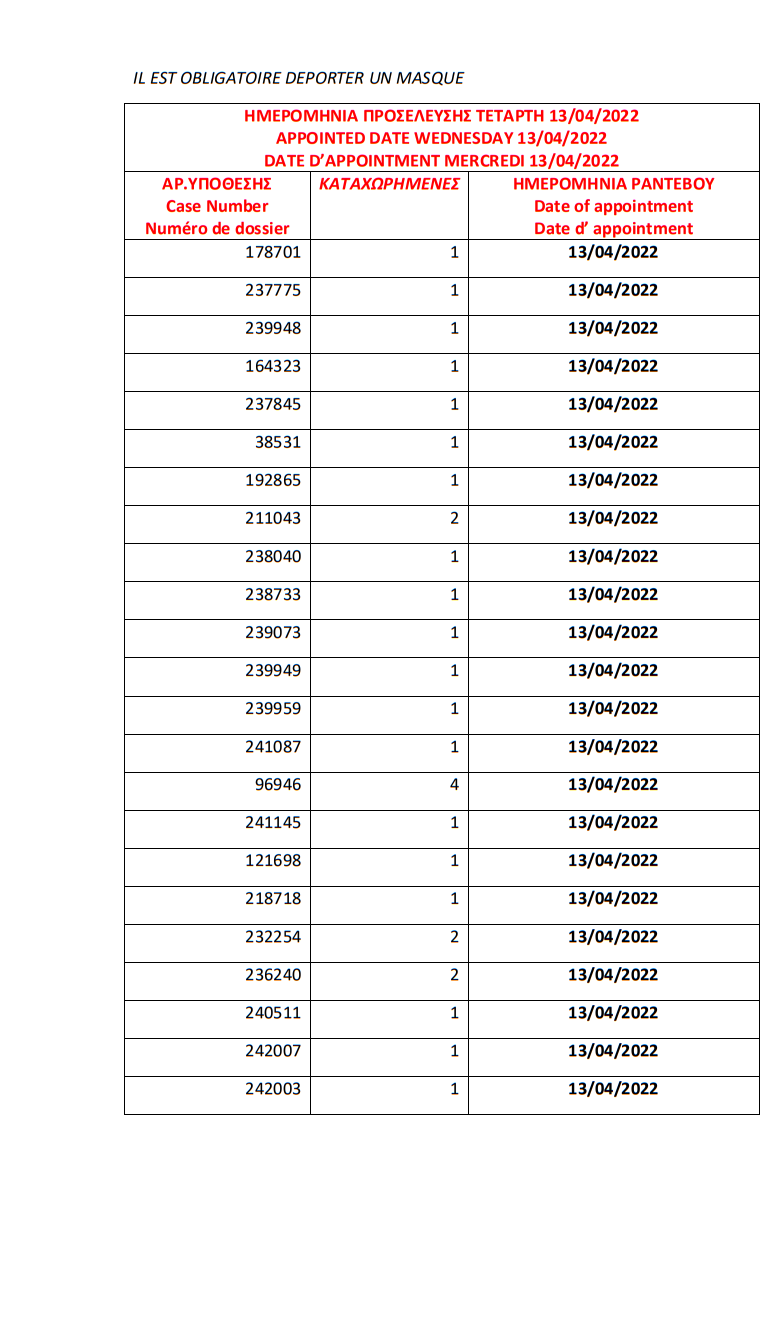
أصدرت وزارة الهجرة اليونانية في مدينة ثيسالونيكي أرقام الباسبورات الجاهزة الخاصة بحالات اللجوء بتاريخ 7 أبريل 2022، على أن يتم تسليم الجوازات أيام 12و 13 و14و15 أبريل.

الجوازات التي سيتم تسليمها يوم 12 أبريل

الجوازات التي سيتم تسليمها يوم 13 أبريل

الجوازات التي سيتم تسليمها يوم 14 أبريل

الجوازات التي سيتم تسليمها يوم 15 أبريل

اليونان.. الباسبورات الجاهزة الخاصة بحالات اللجوء بتاريخ 24 مارس 2022 ثيسالونيكي

Arab.gr

 

Facebook Comments Box

.